简要描述:SRM 4226d 镍 63 放射性标准品由经过标准化和认证数量的放射性镍 63 在适当稳定和均质的基质中的溶液组成。
英文名称:Nickel-63 Radioactivity Standard
产品型号:SRM 4226D
CAS:
产品规格:5 mL
纯度:
品牌:美国NIST
访 问 量:482SRM 4226d 镍 63 放射性标准品由经过标准化和认证数量的放射性镍 63 在适当稳定和均质的基质中的溶液组成。它主要用于校准用于测量放射性和监测放射化学程序的仪器。
规格:
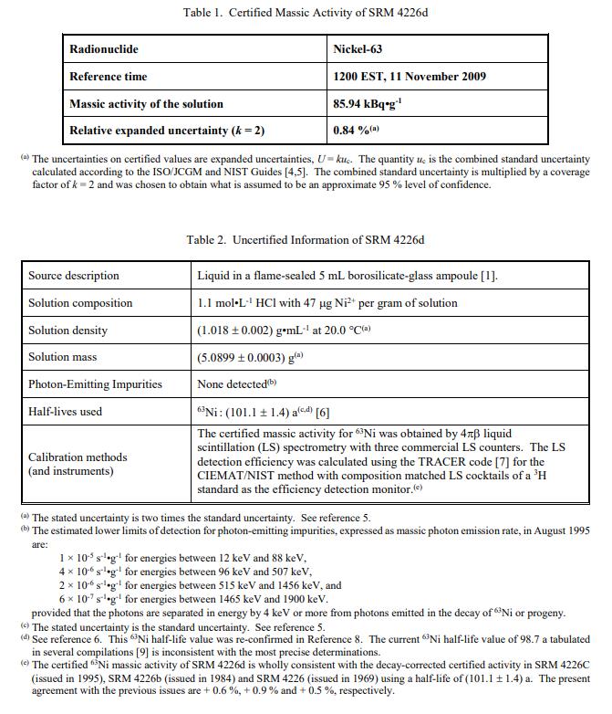
一个单元由包含在火焰密封的 5 mL 硼硅酸盐玻璃安瓿 [1] 中的溶液组成,其成分在表 1 和表 2 中规定。
在 2009 年 11 月 11 日美国东部标准时间 1200 的参考时间,经认证的 Nickel-63 质量活度值为:(85.94 ± 0.72) kBq•g-1
NIST SRM 4226d 镍 63 放射性标准品NIST 认证值在本证书上下文中使用,是 NIST 在其不确定性评估中具有最高置信度的值。它是从“主要参考测量程序"[3]直接或间接获得的“测量结果"[2]。认证值可追溯到衍生的 SI 单位,贝克勒尔 (Bq)。
表 1 和表 2 中给出了该 SRM 的其他物理、化学和放射学特性以及标准化方法的详细信息。认证数量的不确定性已扩大 (k = 2)。不确定性是根据 ISO/JCGM 和 NIST 指南 [4,5] 计算的。表 3 包含包含不确定性分析的组件规范。

东莞市百顺生物科技有限公司专业提供SRM 4226D 镍-63放射性标准品,欢迎咨询定购。